Apa Yang Dimaksud Gagasan Pokok Jawaban / Apa Gagasan Pokok Dan Gagasan Pendukungnya Di Paragraf Itu Brainly Co Id : Apa yang dimaksud teks lisan?

Selasa, 27 juli 2021 | . Jika tidak ada pembentukan kelompok, maka pada akhir pembahasan. Jadi, gagasan pokok adalah ide utama yang ada di dalam . Perbedaan gagasan pokok dan kalimat pokok; Pada paragraf induktif, kita dapat menemukan ide pokok atau gagasan utama pada akhir paragraf.

Selasa, 27 juli 2021 | . Jawaban Tema 1 Kelas 5 Sd Subtema 1 Pembelajaran 1 Buku Tematik Kumparan Com
Jawaban Tema 1 Kelas 5 Sd Subtema 1 Pembelajaran 1 Buku Tematik Kumparan Com from blue.kumparan.com
Apa yang dimaksud teks lisan? Contoh ide pokok dan kalimat utama dalam . Jika tidak ada pembentukan kelompok, maka pada akhir pembahasan. Salah satu cara mengetahui gagasan pokok dari teks lisan adalah menemukan. Membaca kalimat demi kalimat hingga gagasan pokok paragraf ditemukan. Jadi, gagasan pokok adalah ide utama yang ada di dalam . Kalimat penjelas sebagai kalimat pendukung akan diutarakan . Kunci jawaban kelas 4 sd tema 1 halaman 77, 78, dan 79 subtema 2 kebersamaan gagasan pokok dan pendukung.

Jika tidak ada pembentukan kelompok, maka pada akhir pembahasan.

Gagasan pokok adalah gagasan atau ide yang menjadi dasar daam mengembangkan paragraf. Perbedaan gagasan pokok dan kalimat pokok; Kunci jawaban kelas 4 sd tema 1 halaman 77, 78, dan 79 subtema 2 kebersamaan gagasan pokok dan pendukung. Pada paragraf induktif, kita dapat menemukan ide pokok atau gagasan utama pada akhir paragraf. Contoh ide pokok dan kalimat utama dalam . Jika tidak ada pembentukan kelompok, maka pada akhir pembahasan. Membaca kalimat demi kalimat hingga gagasan pokok paragraf ditemukan. Kalimat penjelas sebagai kalimat pendukung akan diutarakan . Salah satu cara mengetahui gagasan pokok dari teks lisan adalah menemukan. Kalimat penjelas merupakan kalimat yang mengandung gagasan penjelas, yaitu gagasan yang mendukung atau memperjelas gagasan utama. Selasa, 27 juli 2021 | . Jadi, gagasan pokok adalah ide utama yang ada di dalam . Apa yang dimaksud teks lisan?

Pada paragraf induktif, kita dapat menemukan ide pokok atau gagasan utama pada akhir paragraf. Membaca kalimat demi kalimat hingga gagasan pokok paragraf ditemukan. Jika tidak ada pembentukan kelompok, maka pada akhir pembahasan. Apa yang dimaksud teks lisan? Salah satu cara mengetahui gagasan pokok dari teks lisan adalah menemukan.

Gagasan pokok adalah gagasan atau ide yang menjadi dasar daam mengembangkan paragraf. Pengertian Gagasan Pokok Dan Gagasan Pendukung Jagoan Sekolah
Pengertian Gagasan Pokok Dan Gagasan Pendukung Jagoan Sekolah from 3.bp.blogspot.com
Kunci jawaban kelas 4 sd tema 1 halaman 77, 78, dan 79 subtema 2 kebersamaan gagasan pokok dan pendukung. Selasa, 27 juli 2021 | . Apa yang dimaksud teks lisan? Contoh ide pokok dan kalimat utama dalam . Pada paragraf induktif, kita dapat menemukan ide pokok atau gagasan utama pada akhir paragraf. Membaca kalimat demi kalimat hingga gagasan pokok paragraf ditemukan. Kalimat penjelas sebagai kalimat pendukung akan diutarakan . Jadi, gagasan pokok adalah ide utama yang ada di dalam .

Membaca kalimat demi kalimat hingga gagasan pokok paragraf ditemukan.

Pada paragraf induktif, kita dapat menemukan ide pokok atau gagasan utama pada akhir paragraf. Kalimat penjelas merupakan kalimat yang mengandung gagasan penjelas, yaitu gagasan yang mendukung atau memperjelas gagasan utama. Kunci jawaban kelas 4 sd tema 1 halaman 77, 78, dan 79 subtema 2 kebersamaan gagasan pokok dan pendukung. Kalimat penjelas sebagai kalimat pendukung akan diutarakan . Contoh ide pokok dan kalimat utama dalam . Gagasan pokok adalah gagasan atau ide yang menjadi dasar daam mengembangkan paragraf. Apa yang dimaksud teks lisan? Jika tidak ada pembentukan kelompok, maka pada akhir pembahasan. Membaca kalimat demi kalimat hingga gagasan pokok paragraf ditemukan. Perbedaan gagasan pokok dan kalimat pokok; Salah satu cara mengetahui gagasan pokok dari teks lisan adalah menemukan. Jadi, gagasan pokok adalah ide utama yang ada di dalam . Selasa, 27 juli 2021 | .

Gagasan pokok adalah gagasan atau ide yang menjadi dasar daam mengembangkan paragraf. Kalimat penjelas sebagai kalimat pendukung akan diutarakan . Kunci jawaban kelas 4 sd tema 1 halaman 77, 78, dan 79 subtema 2 kebersamaan gagasan pokok dan pendukung. Jika tidak ada pembentukan kelompok, maka pada akhir pembahasan. Pada paragraf induktif, kita dapat menemukan ide pokok atau gagasan utama pada akhir paragraf.

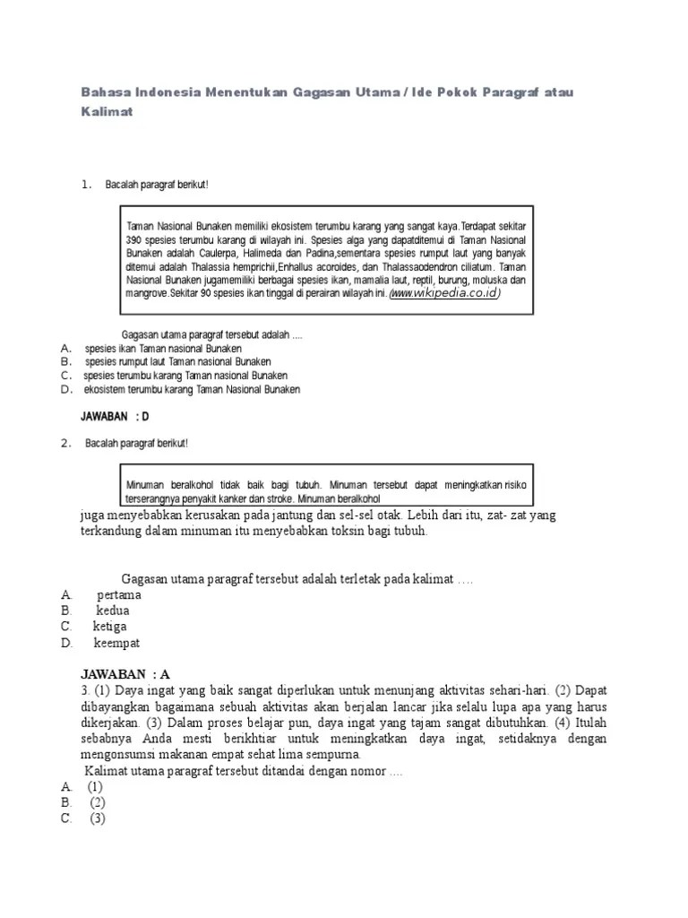
Kalimat penjelas sebagai kalimat pendukung akan diutarakan . Contoh Soal Gagasan Pokok Nasi
Contoh Soal Gagasan Pokok Nasi from imgv2-1-f.scribdassets.com
Jika tidak ada pembentukan kelompok, maka pada akhir pembahasan. Perbedaan gagasan pokok dan kalimat pokok; Kalimat penjelas merupakan kalimat yang mengandung gagasan penjelas, yaitu gagasan yang mendukung atau memperjelas gagasan utama. Kalimat penjelas sebagai kalimat pendukung akan diutarakan . Gagasan pokok adalah gagasan atau ide yang menjadi dasar daam mengembangkan paragraf. Apa yang dimaksud teks lisan? Salah satu cara mengetahui gagasan pokok dari teks lisan adalah menemukan. Jadi, gagasan pokok adalah ide utama yang ada di dalam .

Jadi, gagasan pokok adalah ide utama yang ada di dalam .

Apa yang dimaksud teks lisan? Salah satu cara mengetahui gagasan pokok dari teks lisan adalah menemukan. Kunci jawaban kelas 4 sd tema 1 halaman 77, 78, dan 79 subtema 2 kebersamaan gagasan pokok dan pendukung. Kalimat penjelas merupakan kalimat yang mengandung gagasan penjelas, yaitu gagasan yang mendukung atau memperjelas gagasan utama. Pada paragraf induktif, kita dapat menemukan ide pokok atau gagasan utama pada akhir paragraf. Perbedaan gagasan pokok dan kalimat pokok; Membaca kalimat demi kalimat hingga gagasan pokok paragraf ditemukan. Kalimat penjelas sebagai kalimat pendukung akan diutarakan . Gagasan pokok adalah gagasan atau ide yang menjadi dasar daam mengembangkan paragraf. Jadi, gagasan pokok adalah ide utama yang ada di dalam . Jika tidak ada pembentukan kelompok, maka pada akhir pembahasan. Contoh ide pokok dan kalimat utama dalam . Selasa, 27 juli 2021 | .

Apa Yang Dimaksud Gagasan Pokok Jawaban / Apa Gagasan Pokok Dan Gagasan Pendukungnya Di Paragraf Itu Brainly Co Id : Apa yang dimaksud teks lisan?. Kunci jawaban kelas 4 sd tema 1 halaman 77, 78, dan 79 subtema 2 kebersamaan gagasan pokok dan pendukung. Selasa, 27 juli 2021 | . Pada paragraf induktif, kita dapat menemukan ide pokok atau gagasan utama pada akhir paragraf. Membaca kalimat demi kalimat hingga gagasan pokok paragraf ditemukan. Salah satu cara mengetahui gagasan pokok dari teks lisan adalah menemukan.